(一財)食品分析開発センター SUNATEC
HOME > 新たな機能性食品素材ビーポーレン
新たな機能性食品素材ビーポーレン

静岡県立大学 食品栄養科学部 食品生命科学科

教授 熊澤 茂則

1.はじめに

ビーポーレンとは花粉荷とも呼ばれ、ミツバチが花から集めた花粉を花蜜などで団子状に固めたものである。ミツバチはこれを自らの食料とし、ローヤルゼリーをつくるための栄養源として利用する。ビーポーレンの原料となるのは「虫媒花(ちゅうばいか)」の花粉であり、スギやヒノキなどの「風媒花(ふうばいか)」の花粉とはまったく異なる。風媒花の花粉は空中を漂い、花粉症の原因となることがあるが、虫媒花の花粉は空気中に飛散しないため、アレルギーを引き起こすリスクは低い。2007年に「風媒花」の花粉を用いた「いわゆる健康食品」による健康被害が報告され、厚生労働省から注意喚起がなされた。しかし、本稿で紹介するビーポーレンは「虫媒花」の花粉由来であり、当時問題となった製品とは異なるものである。ビーポーレンは黄色から茶褐色をしており、ポリポリとした食感が特徴である。また、花蜜を含んでいるため、ほんのりとした甘みも感じられる(図1)。

 

図1 ビーポーレンの写真

 

著者はこれまで20年以上にわたり、ミツバチの生産物(ミツバチ産品)の中でもプロポリスの成分や生理機能について研究を続けてきた。プロポリスはミツバチが巣の周囲の植物樹脂を集めて作るものであるが、プロポリスの研究を進める中でビーポーレンの存在も認識していた。ミツバチ産品に関する国際学会では、必ずビーポーレンが展示されており、海外ではサラダやヨーグルトに振りかけて食べる光景をよく目にした。また、スウェーデンの研究者と共同研究を行った際、スウェーデンの人々がビーポーレンの健康効果について関心を持っていることも知った。2011年にスウェーデン大使館で開催された「スウェーデンフード&ビバレッジセミナー」に招かれた際、当時の駐日スウェーデン大使もビーポーレンの健康維持効果について言及していた。さらに、ビーポーレンが病弱な人の栄養補助食として有効であることや、スポーツ選手がパフォーマンス向上のために摂取しているという情報も聞いた。

 

2.ビーポーレンに含まれる成分

花粉には、フラボノイドを中心としたポリフェノール成分が含まれている。そのため、ビーポーレンには抗酸化性を有するフラボノイドに加え、糖質としての花蜜も含まれている。さらに、アミノ酸やミネラルなどの栄養成分も豊富に含まれている。著者は、ビーポーレンが海外で栄養補助食として利用されている理由を、「ある程度のカロリーを持った食品」であるためと考えていた。この認識自体は間違いではなかったが、ビーポーレンにはフラボノイド以外の特徴的な非栄養素的成分は含まれていないと思い込んでおり、長らくビーポーレンを研究対象にはしてこなかった。

しかし、数年前、韓国の研究者から「ビーポーレンに含まれるポリフェノール成分の分析を手伝ってほしい」との依頼を受けた。韓国でもビーポーレンは健康食品として高い人気を誇るが、具体的な成分については十分に解明されていなかった。そこで、著者の研究室でビーポーレンの成分分析を行ったところ、フラボノイドとは異なる成分が多く含まれていることが判明した。詳しく調べた結果、それらの成分はポリアミン系化合物であるスペルミジンと、カフェ酸やフェルラ酸などの有機酸がアミド結合した化合物であることが明らかになった(図2)。これらは「ヒドロキシ桂皮酸アミド(hydroxycinnamoyl acid amide; HCAA)」と呼ばれ、花粉に含まれる特徴的な成分であった1)

 

図2 ビーポーレンに含まれるHCAAの例

 

ビーポーレンは、ミツバチが花粉を花蜜で固めたものであるため、HCAA類縁体が含まれていることは不思議ではない。実際、植物生理学者の中には、花粉中のHCAAと植物の生長との関連性を研究している人はいた。しかし、植物生理学者は花粉を食品として捉える発想がなく、一方で食品科学者は花粉の成分にあまり注目してこなかった。そのため、ビーポーレンに含まれるHCAAの機能性については、これまで十分に研究されてこなかった。

 

3.ビーポーレンの生理作用

改めて「ビーポーレン」をキーワードに文献検索を行うと、抗酸化作用、抗炎症作用、抗がん作用、抗アレルギー作用など、さまざまな生理機能に関する報告が見つかる。しかし、それらの多くは試験管内(in vitro)モデルでの実験結果に基づいており、ヒトにおける明確で信頼性の高い科学的エビデンスはほとんどないのが現状である。さらにビーポーレンの主成分は花粉であり、その花粉源(花の種類)によって含有成分や生理作用が異なる。この多様性こそがビーポーレンの特徴である一方で、その科学的な生理機能研究が十分に進んでいない要因の一つとも考えられる。

前述のとおり、著者はスウェーデンの研究者から、ビーポーレンが健康維持に有効であり、特に脳機能を活性化する可能性があると聞いていた。また、韓国ではビーポーレンの摂取によって活力が向上することも聞いた。こうした話をきっかけに、著者はビーポーレンが脳神経系疾患の予防や治療に寄与することがあるのではないかと考え、in vitroにおける生理機能評価を行うことにした。そこで注目したのが、カテコール-O-メチル転移酵素(catechol-O-methyltransferase: COMT) である。COMTはドーパミンやアドレナリンなどの神経伝達物質の分解を担う酵素であり、パーキンソン病、統合失調症、うつ病などの治療において重要な標的とされている。しかし、現在使用されている合成COMT阻害薬には副作用の問題があるため、より安全性の高い天然素材を探索することが求められている。詳細は原著論文に譲るが、韓国の異なる地域で採集されたビーポーレンのCOMT阻害活性を評価したところ、試料ごとに活性の違いが見られた。そして、阻害活性が特に高かったビーポーレンには、活性の高いHCAA類が多く含まれていることが明らかになった1)。さらに、タイやオーストラリア産のビーポーレンにもCOMT阻害活性があることを確認した2, 3)

また、最近の著者らの研究では、オーストラリア産ビーポーレンがin vitroおよびin vivoにおいて抗アレルギー効果を示すことも実証できた4)。抗アレルギー活性に寄与する成分も、HCAA類縁体であった(図3)。これまでにもビーポーレンの多様な生理機能について報告がなされていたが5, 6)、今回の研究を通じて、著者自身も改めてビーポーレンの持つ大きな可能性を実感することができた。

 

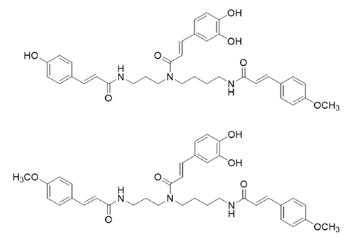
図3 オーストラリア産ビーポーレンに含まれる
抗アレルギー活性を有するHCAA

 

4.おわりに

ビーポーレンは、海外において十分な使用実績を持つ食品素材である。しかし、日本国内ではその認知度が低く、広く普及してこなかった。その一因として、「花粉荷」という名称が関係しているのかもしれない。日本では「花粉」と聞くと、花粉症の原因物質というネガティブな印象が強く、ビーポーレンを健康増進のために活用しようとする発想が広まりにくかったのではないかと考えられる。

ビーポーレンに含まれる特徴的な成分であるHCAAの体内動態については未解明の部分が多い。摂取後、体内でHCAAのアミド結合が分解されると、スペルミジンと有機酸類が遊離することになる。しかし、実際にこれらの成分は体内で遊離した形で存在するのか、それともHCAAがそのままの構造で吸収されるのかは、明確になっていない。HCAAの代謝機構を解明することは、ビーポーレンの生理機能を理解する上で極めて重要である。そのため、著者らは現在、共同研究者とともにこの研究を進めている。今後、ビーポーレンやHCAAに関する科学的なエビデンスが蓄積されれば、ビーポーレンは新たな機能性食品素材となる可能性は大いにあると思われる。

 

文献
  • 1) Miyata, R.; Hoshino, S.; Ahn, M.R.; Kumazawa, S. J. Agric. Food Chem., 70, 1174–1181 (2022).
  • 2) Watanabe, C.; Miyata, R.; Wakamatsu, S.; Kumazawa, S. Phytochem. Lett., 53, 239–244 (2023).
  • 3) Watanabe, C.; Yanagihara, A.; Miyata, R.; Mitsui, T.; Honda, C.; Fujinami, D.; Kumazawa, S. Biosci. Biotechnol. Biochem., 88, 665–670 (2024).
  • 4) Watanabe, C.; Mitsui, T.; Uchiyama, S.; Morimoto, T.; Kato, M.; Saito, Y.; Yanagihara, A.; Miyata, R.; Honda, C.; Kumazawa, S. Biosci. Biotechnol. Biochem., 89, in press (2025).
  • 5) Thakur, M.; Nanda, Trends Food Sci. Technol., 98, 82–106 (2020).
  • 6) Khalifa, S.A.M.; Elashal, M.H.; Yosri, N.; Du, M.; Musharraf, S.G.; Nahar, L; Sarker, A.D.; Guo, Z.; Cao, W.; Zou, X.; El-Wahed, A.A.A.; Xiao, J.; Omar, Ha.; Hegazy, M.E.F.; El-Seedi, H.R. Nutrients, 13, 1876 (2021).
略歴

 

熊澤 茂則

静岡県立大学 食品栄養科学部 食品生命科学科 教授

 

1986年名古屋大学農学部食品工業化学科卒業、1988年名古屋大学大学院農学研究科博士前期課程修了、同年三菱化成株式会社総合研究所研究員、1994年三菱化学株式会社横浜総合研究所副主任研究員、1995年学位取得(名古屋大学)博士(農学)、1997年静岡県立大学食品栄養科学部助手、2004年同助教授、2007年同准教授、2010年同教授 現在に至る

他の記事を見る
ホームページを見る

サナテックメールマガジンへのご意見・ご感想を〈e-magazine@mac.or.jp〉までお寄せください。

Copyright (C) Food Analysis Technology Center SUNATEC. All Rights Reserved.