(一財)食品分析開発センター SUNATEC
HOME > 発酵性食物繊維の機能
発酵性食物繊維の機能

愛知淑徳大学 食健康科学部 健康栄養学科

常勤講師 石原 則幸

1. はじめに

厚生労働省の「健康日本21アクション支援システム~健康づくりサポートネット~」では、食物繊維を「食べ物の中に含まれ、人の消化酵素で消化することのできない物質」としている1)

食物繊維は、水に溶けない不溶性食物繊維と、水に溶ける水溶性食物繊維に大別される。不溶性食物繊維にはセルロース・ヘミセルロース・キチン・キトサンなどがあり、水溶性食物繊維にはペクチン・グルコマンナン・アルギン酸・アガロース・アガロペクチン・カラギーナン・グアーガム分解物、難消化性デキストリン、イヌリン、ポリデキストロースなどがある。また、食物繊維は水に対する溶解性以外に、構成している糖質によって、でんぷん性食物繊維、非でんぷん性食物繊維といった分類もされている。食品産業で利用されているでんぷん性食物繊維には、レジスタントスターチ、難消化性デキストリン、ポリデキストロースなどがあり、非でんぷん性食物繊維にはグアーガム分解物やイヌリンなどがある。

近年では、ヒトと腸内細菌の関連が明らかにされつつあり、腸内細菌の代謝産物である短鎖脂肪酸のヒトに対する有用性が注目されている。ヒトが摂取した食物繊維を腸内細菌が発酵することにより、短鎖脂肪酸は生成される。このことから腸内細菌に発酵されやすい食物繊維の摂取がヒトの健康機能の観点から注目されている。

そこで、本稿では、食物繊維の中でも腸内細菌に発酵されやすい発酵性食物繊維について述べる。

 

2. 短鎖脂肪酸について

短鎖脂肪酸とは、炭素数が2~6よりなる低級脂肪酸のことであり、主要なものとしては、酢酸 (C2)、プロピオン酸 (C3)および酪酸 (C4)がある。これらは食物繊維に代表される難消化性多糖類の発酵代謝物であり、大腸粘膜細胞のエネルギー源や消化管粘膜の血流増加などの種々の生理作用が古くから明らかにされてきた2)。また、短鎖脂肪酸の受容体としてGPR41、GPR43、GPR109a、SLC5A8が知られているが、これら受容体を介して種々の免疫制御機能3)や多様な組織の恒常性維持4)に関与している。これらのことから潰瘍性大腸炎 (UC)やクローン病 (CD)に代表される炎症性腸疾患 (IBD)との関係も示唆されている。

近年、ヒトにとって重要な器官である腸と脳がお互いに密接に影響を及ぼしあうことを示している、「腸-脳相関」が注目されている。この腸-脳相関にも短鎖脂肪酸が関与5)し、神経疾患の治療に期待されている6)ことも報告されている。

以上のことから、腸管恒常性維持、全身性慢性炎症の抑制、免疫機能の向上などの観点から短鎖脂肪酸はキーマテリアルといえる。

 

3. 発酵性食物繊維について

 発酵性食物繊維とは、学術的な定義はないが、これまでの多数の研究者らによる研究報告から経験的に、腸内細菌によって分解、発酵されやすく、腸内環境の改善に役立つ働きがある食物繊維と考えられている。

なお、食物繊維のエネルギーは、消費者庁の令和2年4月 難消化性糖質及び食物繊維のエネルギー換算係数の見直し等に関する調査・検証事業報告書7)によると、(1) 大腸に到達して完全にはっ酵されるものは2kcal/g、 (2) はっ酵分解を受けない食物繊維は、原則として0kcal/g、(3) はっ酵分解率が明らかな食物繊維については、「はっ酵分解率が25%未満のもの: 0kcal/g」、「はっ酵分解率が25 %以上、75 %未満のもの: 1kcal/g」、はっ酵分解率が75 %以上のもの: 2kal/g」とされている (原文には、「発酵」は「はっ酵」と記されている)。すなわち、エネルギーが2kcal/gの食物繊維を発酵性食物繊維とすることができる。

エネルギー換算係数が2kcal/gの食物繊維には、グァーガム、グァーガム酵素分解物 (グアーガム分解物)、イヌリン、小麦胚芽、難消化性でんぷん (レジスタントスターチ)、水溶性大豆食物繊維、タマリンドシードガム、プルランなどが知られている。

 

4. 発酵性食物繊維のグアーガム分解物

前述のエネルギー換算係数が2kcal/gの食物繊維はさまざまなものがあるが、生理機能が明らかにされている、すなわちエビデンスが多く存在する発酵性食物繊維の一例として、グアーガム分解物について述べる。

(1) グアーガム分解物とは

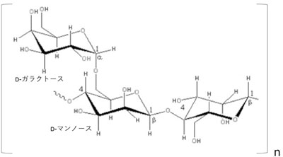
グアーガム分解物 (Partially Hydrolyzed Guar Gum, 以下PHGGと略す)はインド北部やパキスタンに生育する一年草の豆科植物のグァー豆 (Cyanopsis tetragonolobusもしくはCyamopsis tetragonoloba)がその原料である。グァー豆は、インドではバザールやスーパーマーケットの野菜売り場で一般野菜とともに普通に販売されており、その食経験は豊富である。グァー豆の胚乳部分のガム質を精製したものがグァーガムであり、マンノース2分子に対してガラクトース1分子から成るガラクトマンナンが主要構成糖である (図1)8)。PHGGはジャーナル、業界誌、加工食品の原材料表示等にはグアーガム分解物、グァーガム酵素分解物、ガラクトマンナン分解物、Enzymatically Guar Gum等と表現されていることもある。

 

  • 図1. グアーガム分解物の主要な分子構造

    D-マンノース とD-ガラクトースのモル比は 2 :1である。
    平均分子量は約20kDaである。

 

(2) グアーガム分解物の腸内細菌による発酵

PHGGは1990年代前半より、様々な研究者より生理機能が見出されてきた。PHGGの腸内細菌に対する作用は、1994年にOkubo et al. 9)が、ヒトがPHGGを摂取した時に糞便中の善玉菌であるBifidobacterium spp.の割合が増加することを培養法により明らかにしている報告が最初である。PHGGの短鎖脂肪酸産生促進効果については、Velázquez et al.10)とAnne et al.11)は、他の食物繊維と比較して短鎖脂肪酸、特に酪酸の産生が高いことを明らかにしている。その後、分子生物学的手法により、PHGGを資化する腸内細菌、特に酪酸を産生する酪酸生成菌をターゲットとした解析がなされている。Ohashi et al.12)は、PHGGを摂取させたヒトの糞便からDNAを抽出し、腸内細菌の変動をリアルタイムPCR法により検索し、Clostridium coccoides、Bifidobacterium、Butyryl-CoA CoA-transferase gene、Roseburia/Eubacterium rectale group、Eubacterium halli、Butyrate-producing bacteria SS2/1が増加することを明らかにした (表1)。E. halli、unnamed butyrate-producing bacteria SS2/1は乳酸を原料とする経路で酪酸を産生するが、それ以外の細菌は乳酸を介さずにPHGGを直接資化して酪酸を産生する。このため、PHGGは乳酸発酵を行う乳酸菌やビフィズス菌の保持が少ない人でも酪酸産生が効率的に行われることとなり、管腔内で酪酸が産生されやすいといえる。

 

表1 グアーガム分解物摂取による腸内細菌の変動

細菌 摂取前 摂取2週間 摂取後2週間
Clostridium coccoides group 12.4 ± 0.1a 12.6 ± 0.1b 12.7 ± 0.1b
Clostridium leptum subgroup 12.6 ± 0.2a 12.8 ± 0.1a 12.8 ± 0.2a
Clostridium cluster I  9.9 ± 0.2a 10.0 ± 0.1a 10.0 ± 0.1a
Clostridium cluster XI  9.0 ± 0.2a  9.3 ± 0.1a  9.0 ± 0.2a
Bacteroides fragilis group 12.6 ± 0.1a 12.6 ± 0.1a 13.0 ± 0.2a
Atopobium cluster  9.0 ± 0.2a  9.1 ± 0.3a  8.8 ± 0.2a
Prevotella  9.6 ± 0.4a  9.6 ± 0.4a  9.3 ± 0.5a
Enterococcus  8.5 ± 0.3a  8.5 ± 0.3a  8.1 ± 0.3a
Lactobacliius group  8.0 ± 0.4a  8.3 ± 0.4a  7.6 ± 0.3a
Bifidobacterium 11.0 ± 0.2a 11.7 ± 0.2b 11.3 ± 0.2c
Butyryl-CoA CoA-transferase gene 11.8 ± 0.2a 12.3 ± 0.2b 12.5 ± 0.3b
Roseburia/Eubacterium rectale group 10.2 ± 0.2a 10.6 ± 0.1b 10.6 ± 0.4a
Faecalibacterium prausnitzii 11.7 ± 0.2a 12.0 ± 0.1a 12.0 ± 0.2a
Eubacterium hallii  9.9 ± 0.1a 10.3 ± 0.1b 10.4 ± 0.2b
Butyrate-producing bacterium strain SS2/1  9.0 ± 0.4a  9.4 ± 0.4b  9.7 ± 0.5b

数値は糞便1g中の遺伝子のコピー数の常用対数値であり、平均値±標準誤差で示した。

異なる上付き文字は統計的に有意差を認めた (a, b, c: p< 0.05)

 

Ohashi Y, Sumitani K, Tokunaga M, Ishihara N, Okubo T, Fujisawa T. Consumption of Partially Hydrolysed Guar Gum Stimulates Bifidobacteria and Butyrate-producing Bacteria in the Human Large Intestine. Benef. Microbes 6 (4): 451-455 (2015)を改変引用。

 

(3) グアーガム分解物と腸臓器軸 (Gut-Organaxis)

腸内細菌が腸のみならず全身の健康状態に影響することが明らかになってきている。このことは、脳や肝臓、心臓などの各臓器と腸内細菌は相互に影響することを示唆している。すなわち、先に述べた腸-脳相関 (Gut-Brain Axis)や腸-肝相関 (Gut-Liver Axis)、腸-心相関 (Gut-Heart Axis)、腸-皮膚相関 (Gut-Skin Axis)等の腸-臓器軸 (Gut-Organaxis)13)が注目されている。

PHGGの腸-臓器軸への影響も解明されてきており、前臨床研究やモデル動物での結果もあるが、自閉症児の易刺激性低減14, 15)、不妊症患者の妊娠率改善の寄与16)、糖尿病サルコペニア抑制17)、慢性腎臓病改善18) 、非アルコール性脂肪肝改善19)、睡眠・やる気の改善20)、アルコール性脂肪肝改善21)、肌状態の改善22)、アトピー様症状の改善23)等がPHGG摂取とそれによる腸内細菌叢改善が深く関与していることも示唆されている。

 

5. おわりに

今回は、発酵性食物繊維の一例として、グアーガム分解物を取り上げ、腸内細菌叢の改善、さらには近年注目されている腸-脳相関に代表される腸-臓器軸に対する作用についても述べた。

ところで、厚生労働省がん研究班による45~74歳の男女約9万人を約17年間追跡調査した多目的コホート研究では、食物繊維の摂取量が多いほど男女共に総死亡リスク、特に循環器疾患の死亡リスクが低下することを明らかにしている24)。また、日本人の健康に関する大規模コホート研究であるCIRCS研究を実施している秋田・茨城・大阪の3地域の住民で、1985-1999年の間の健診時に実施した栄養調査に参加した40~64歳の3,739人を対象に、1999~2020年までの最大21年間にわたって追跡して調査した結果、⾷物繊維の摂取量が上位25%の群は、下位25%の群と比較して、要介護認知症の発症リスクは0.74倍に減少し、特に水溶性食物繊維を多く摂取していると、要介護認知症の発症リスクがより低下する傾向を明らかにしている25)。これらは、食物繊維の摂取による影響に関する研究結果であるが、発酵性食物繊維と腸内細菌の関与やそこから派生する腸-臓器軸の関与も十分に考えられる。

以上のことから、発酵性食物繊維に関する研究が今後一層進み、ヒトの健康寿命が延び、人類の生活が豊かになることを期待する。

 

参考文献
  • 1) 厚生労働省. 健康日本21アクション支援システム ~健康づくりサポートネット~: 生活習慣病などの情報 (2025) https://kennet.mhlw.go.jp/information/information/dictionary/food/ye-016
  • 2) 原 博. 大腸発酵の栄養生理. バイオサイエンスとインダストリー 55: 255-260 (1997)
  • 3) 吉井 健 他. 腸内細菌の代謝物を介した免疫機能制御. 腸内細菌学雑誌36 (1): 1-11 (2022)
  • 4) Koh A et al. From dietary fiber to host physiology: Short-chain fatty acids as key bacterial metabolites. Cell 165 (6): 1332–1345 (2016).
  • 5) Kennedy PJ et al. Kynurenine pathway metabolism and the microbiota-gut-brain axis. Neuropharmacol. 112 (Pt B): 399-412 (2017)
  • 6) Wang Y, Yang Z. Microbial metabolites and the gut-brain axis in neurological disorders: Implications for neuropharmacology and therapy. Neuropharmacol. Ther. 2025 (2): 66-84 (2025)
  • 7) 消費者庁. 令和2年4月 難消化性糖質及び食物繊維のエネルギー換算係数の見直し等に関する調査・検証事業報告書 (2020) https://www.caa.go.jp/policies/policy/food_labeling/information/research/2019/pdf/food_labeling_cms206_200424_02-2.pdf
  • 8) Lal G et al. Guar gum valuable for pharmacological and pharmaceutical conscious: A review. J. Pharmacogn. Phytochem. 10 (1): 7-13 (2021)
  • 9) Okubo T et al. Effects of partially hydrolyzed guar gum intake on human intestinal microflora and its metabolism. Biosci. Biotechnol. Biochem. 58 (8): 1364-1369 (1994)
  • 10)Velázquez M et al. Effect of oligosaccharides and fibre substitutes on short-chain fatty acid production by human faecal microflora. Anaerobe 6 (2): 87-92 (2000)
  • 11)Anne M et al. Comparison of different fibers for in vitro production of short chain fatty acids by intestinal microflora. J. Med. Food 8 (1): 113-116 (2005)
  • 12)Ohashi Y et al. Consumption of Partially Hydrolysed Guar Gum Stimulates Bifidobacteria and Butyrate-producing Bacteria in the Human Large Intestine. Benef. Microbes 6 (4): 451-455 (2015)
  • 13)Ahlawat S et al. Gut-Organaxis: A Microbial Outreachandnetworking. Lett. Appl. Microbiol. 72 (6): 636-668 (2021)
  • 14)Inoue R et al. A preliminary investigation on the relationship between gut microbiota and gene expressions in peripheral mononuclear cells of infants with autism spectrum disorders. Biosci. Biotechnol. Biochem. 80 (12): 2450-2458 (2016)
  • 15)Inoue R et al. Dietary supplementation with partially hydrolyzed guar gum helps improve constipation and gut dysbiosis symptoms and behavioral irritability in children with autism spectrum disorder. J. Clin. Biochem. Nutr. 64 (3) 217-223 (2019)
  • 16)Komiya S et al. Characterizing the gut microbiota in females with infertility and preliminary results of a water-soluble dietary fiber intervention study. J. Clin. Biochem. Nutr. 67 (1): 105-111 (2020)
  • 17)Okamura T et al. Partially hydrolyzed guar gum suppresses the development of sarcopenic obesity. Nutrients 14 (6): 1157 (2022)
  • 18)Hung TV, Suzuki T. Dietary fermentable fibers attenuate chronic kidney disease in mice by protecting the intestinal barrier. J. Nutr. 148 (4): 552-561 (2018)
  • 19)Takayama S et al. Partially hydrolyzed guar gum attenuates non-alcoholic fatty liver disease in mice through the gut-liver axis. World J. Gastroenterol. 27 (18): 2160-2176 (2021)
  • 20)Abe A et al. Partially hydrolyzed guar gum is associated with improvement in gut health, sleep, and motivation among healthy subjects. J. Clin. Biochem. Nutr. 72 (2):189-197 (2023)
  • 21)Morishima S et al. Partially hydrolyzed guar gum suppresses binge alcohol-induced liver fat accumulation via gut environment modulation in mice. J. Gastroenterol. Hepatol. 39 (12): 2700-2708 (2024)
  • 22)Kapoor MP et al. Dietary intervention of prebiotic partially hydrolyzed guar gum improves skin viscoelasticity, stratum corneum hydration, and reduction of trans-epidermal water loss: A randomized, double-blind, and placebo-controlled clinical study in healthy humans. J. Clin. Biochem. Nutr. 76 (1): 96-115 (2025)
  • 23)Morishima S et al. Partially hydrolyzed guar gum ingestion suppresses atopic dermatitis-like symptoms through prebiotic effect in mice. J. Clin. Biochem. Nutr.76 (3): 280-288 (2025)
  • 24)Katagiri R et al. Dietary fiber intake and total and cause-specific mortality: the Japan Public Health Center-based prospective study. Am. J. Clin. Nutr. 111 (5): 1027-1035 (2020)
  • 25)Yamagishi K et al. Dietary fiber intake and risk of incident disabling dementia: the circulatory risk in communities study. Nutr. Neurosci. 26 (2):148-155 (2023)
略歴

 

石原 則幸(いしはらのりゆき)

 

1989年3月 三重大学大学院農学研究科修了

同年4月 太陽化学 (株)入社

2005年3月 三重大学大学院生物資源学研究科 博士 (学術)学位取得

2025年3月 太陽化学 (株)退職

同年4月 愛知淑徳大学食健康科学部健康栄養学科 常勤講師

現在に至る

他の記事を見る
ホームページを見る

サナテックメールマガジンへのご意見・ご感想を〈e-magazine@mac.or.jp〉までお寄せください。

Copyright (C) Food Analysis Technology Center SUNATEC. All Rights Reserved.